在綠色化學工程與可持續制造范式轉型的宏觀背景下,聚合物材料的輕質化設計已成為降低全生命周期環境負荷、實現產業低碳化升級的重要技術路徑。其中,具有納米級閉孔結構的聚合物發泡材料因其獨特的氣-固耦合效應,在航天器隔熱防護、新能源汽車輕量化等領域展現出顯著優勢。然而,現有技術體系仍面臨兩大關鍵挑戰:其一,超臨界流體發泡過程中泡孔成核勢壘過高導致成核密度受限;其二,實現納米級孔徑控制需施加極高飽和壓力(普遍>30 MPa),嚴重制約工業設備的經濟性與安全性。
針對上述瓶頸,浙江工業大學劉善秋教授團隊與中國科學技術大學李景國教授團隊合作,采用溶劑熱合成法成功制備了UiO-66及其三種官能化衍生物(UiO-66-OH、UiO-66-NO?、UiO-66-NH?),并首次將其作為高效異相成核劑應用于聚合物納米孔結構發泡體系中。通過精確控制成核劑類型,實現了聚合物泡孔密度高達1.3×1013 cm?3,相較于未經改性PMMA體系的發泡材料,泡孔密度提升達10?倍。進一步地,通過密度泛函理論(DFT)計算了不同功能化UiO-66對CO?的吸附能,并深入闡明了MOF材料與CO?分子的相互作用機制。這項研究為金屬有機骨架(MOF)在高效聚合物納米孔結構發泡領域的應用提供了實驗基礎和理論支持。

圖1 UiO-66-X合成示意圖

圖2 UiO-66-X微觀形貌圖

圖3 XRD與FTIR測試

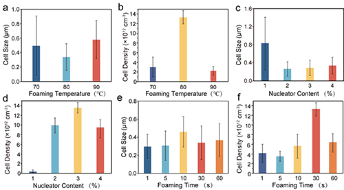
圖4 不同發泡條件下PMMA納孔發泡材料泡孔數據

圖5 UiO-66-X成核效果測試

圖6 UiO-66-NH2與CO2作用機理與密度泛函理論計算結果
相關研究成果以“Polymeric Foams with Nanoscopic Cellular Structures Facilitated by UiO-66-X as High-Efficiency Nucleators”為題發表在ACS applied polymer materials(2025,10.1021/acsapm.5c00528. 20250430)期刊上,該研究工作得到國家自然科學基金的自主支持。
論文信息:
Shanqiu Liu*, Enze Yu, Wei Cui, Taotao Ge, Qing Liu, Yu Zhong, Ping Li*, Jie Yu*, and Jingguo Li*. Polymeric Foams with Nanoscopic Cellular Structures Facilitated by UiO-66-X as High-Efficiency Nucleators. ACS applied polymer materials, DOI: 10.1021/acsapm.5c00528.
論文鏈接:https://pubs.acs.org/doi/full/10.1021/acsapm.5c00528
- 浙大王立和俞豪杰團隊 JHM:用于可見光下雙酚A降解的g-C3N4增強的二茂鐵改性 Uio-66-NH2 復合物光催化劑 2022-06-12
- 浙師大林紅軍教授團隊CEJ:室溫原位生長法制備UiO-66-NH2基混合基質膜用于快速分子分離 2022-01-26
- 哈工大(威海)程喜全副教授:用于環境修復的PSS-g-UiO-66增效聚合物分離膜 2021-04-27
- 清華大學楊萬泰教授、陳明森博士 Angew:酸酐形式纖維素衍生物的合成、原位反應性分離與溶劑回收 2025-09-22
- 浙江大學孫景志/張浩可/唐本忠:聚[1,6-庚二炔衍生物]的室溫磁性 2025-02-20
- 重慶理工大學楊朝龍教授課題組 Angew:熱退火調控芴醇衍生物室溫磷光及苯乙烯檢測研究 2024-09-05
- 中科院近代物理所在石墨烯納米孔研制方面取得進展 2017-12-26