山東大學發明適用于制備耐高溫樹脂的苯并噁嗪中間體
2010-07-14 來源:復材在線

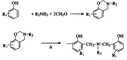
由山東大學發明的一組適用于制備耐高溫樹脂的苯并噁嗪中間體,該材料的特點是低粘度、并含多官能基、工藝方法簡便易行、適合大多數工廠進行工業生產。此外,利用苯并噁嗪中間體制備的交聯聚合物具很高的玻璃化轉化溫度(Tg>250℃),可用于250℃以上使用的耐高溫材料;具有較高的殘碳率(800℃,N2,PNB-ala:57%;800℃,N2,FB-ala:61%),在制備碳材料和耐燒蝕材料方面具有一定的應用前景。
聚苯并惡嗪樹脂作為一種新型酚醛樹脂,不僅具有優異的耐熱性和阻燃性,而且克服了傳統酚醛樹脂在成形固化過程中釋放小分子的缺點,在制備高性能材料方面已引起研究者的廣泛關注。以酚類化合物、胺類化合物和甲醛為原料合成的苯并六元雜環化合物——苯并惡嗪單體,最初在Mannich反應中發現,可在加熱和(或)催化劑作用下發生開環聚合反應形成聚苯并惡嗪樹脂。與一般的酚醛樹脂相比,聚苯并惡嗪樹脂在成型固化過程中沒有小分子放出,制品孔隙率低,接近零收縮。另外,在分子設計中有更大的靈活性,可認為是一種新型的酚醛樹脂。
版權與免責聲明:本網頁的內容由中國聚合物網收集互聯網上發布的信息整理獲得。目的在于傳遞信息及分享,并不意味著贊同其觀點或證實其真實性,也不構成其他建議。僅提供交流平臺,不為其版權負責。如涉及侵權,請聯系我們及時修改或刪除。郵箱:info@polymer.cn。未經本網同意不得全文轉載、摘編或利用其它方式使用上述作品。
(責任編輯:佳)
相關新聞
- 華東理工大學林嘉平教授團隊《Chem. Mater.》:在高分子材料基因工程上的新突破 2020-05-22
- 日本科學家利用致齲細菌開發出耐高溫樹脂 2016-09-06
- 耐高溫樹脂及復合材料研討會在長春應化所召開 2011-08-30
- 南郵周暉/西工大胡文博/山東大學崔基煒/高麗大學 Jong Seung Kim JACS:逃避免疫清除 - 實現可重復光動力治療 2026-03-18
- 山東大學王志寧教授、中國海洋大學李一鳴教授團隊 AFM:基于單體構型和官能度解析聚酰胺OSN膜的結構-性能關系 2026-03-11
- 山東大學崔基煒教授/山西大學馮麗恒教授 ACS Nano:硬度可調的超分子納米膠囊用于NIR-II熒光成像引導的細菌感染治療 2026-02-11