熱增黏聚合物(TVPs)是一類功能性水溶性聚合物,屬于熱凝膠聚合物的范疇,近日已被國際純粹與應用化學聯合會列為2025年度化學領域十大新興技術之一。與傳統水溶性聚合物溶液在加熱時黏度下降的“熱變稀”行為不同,TVPs因其側鏈或嵌段具備低臨界溶解溫度特性,可通過自締合作用表現出獨特的熱致增黏現象。傳統聚合物如部分水解聚丙烯酰胺在半稀溶液中主要依賴鏈纏結實現增黏,而TVPs在溫度超過臨界締合溫度后,可借助主鏈纏結與熱響應基團間的分子間締合協同提升黏度。然而,TVPs在低濃度下的熱增黏能力及其定量機制仍需進一步探究。
近日,四川大學馮玉軍團隊通過“grafting onto”策略,將端氨基聚N-異丙基丙烯酰胺(NH2-PNIPAM)接枝到高分子量HPAM主鏈,合成了一系列高分子量的HPAM-g-PNIPAM共聚物,并系統調控了主鏈分子量(Mw)、接枝率(Gr)以及聚合物濃度(Cp)。通過Gompertz和Cross兩種模型,建立了描述上述三參數對增黏能力影響的量化表達式。此外,基于時溫疊加原理,定量比較了接枝率和聚合物濃度對接枝率與濃度對熱締合增黏的貢獻程度。基于上述研究,構建了一個一個用于闡釋熱締合與黏度增強之間標度關系的定量理論框架。
2025年12月2日,該論文以題為“Quantifying the Thickening Power of High-Molecular-Weight Thermoviscosifying Polymers in Pure Water”發表在Macromolecules上,四川大學博士研究生李世偉為論文第一作者,趙學之特聘副研究員和馮玉軍教授為通訊作者。
本研究通過定制合成HPAM-g-PNIPAM(簡稱HnmGx)接枝共聚物,構建了三個系列量化體系(圖1),以系統探究結構參數對熱增黏行為的影響:系列一(Group 1)主鏈分子量不同而接枝率一致,Mw介于(5.2–16.5)×106 g×mol-1;系列二(Group 2)主鏈分子量相同而接枝率不同,Gr范圍為1.6%–51.9%;系列三(Group 3)固定聚合物種類,改變溶液濃度Cp,區間為0.05%–0.50%。

圖1.(A)氨基封端聚合物(NH2-PNIPAM)和(B)熱增黏聚合物(HPAM-g-PNIPAM)的合成路徑;(C)通過系統調控主鏈分子量(Mw)、接枝率(Gr)和聚合物濃度(Cp)構建三個樣品系列,用于建立定量的結構—性能關系。
系列一:主鏈分子量(Mw)對熱增黏行為的定量影響
隨主鏈分子量Mw增大,HnmG50溶液在低、高溫區的熱剪切變稀現象逐漸減弱,中溫增黏區間則明顯變寬。熱增黏峰值溫度(Tmax)由372 K 升高至405 K,峰值黏度(ηmax)由660 mPa×s顯著提升至4670 mPa×s,表明較長的主鏈有助于形成更穩固的PNIPAM橋聯網絡。基于時溫疊加原理構建的時間–Mw疊加曲線顯示,不同Mw體系的lnηmax高度重合,且增黏斜率一致(約為14),印證其熱增黏機理相同。利用Gompertz方程擬合增黏區(Regime II)的黏溫曲線發現,增黏幅度ηmax-ηass與Mw呈冪律關系(~Mw1.75),相應表達式為
結果表明,提高主鏈分子量可通過促進鏈構象轉變與網絡重組,顯著增強熱增黏能力。


圖2. 0.3% HnmG50溶液(Group 1)在不同主鏈分子量(Mw)下的熱增黏行為:(A) 黏度隨溫度變化曲線;(B) Regime II 區間 lnη–1/T的Cross模型擬合;(C) 以H20mG50為參照,采用水平和豎直移位因子(aM、bM)得到的時間–Mw疊加主曲線;(D) Regime II中η–T關系的Gompertz模型擬合。
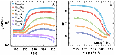
系列二:接枝率(Gr)對熱增黏行為的定量影響
在主鏈分子量相同的H20mGx體系中,隨Gr提高,體系由幾乎無增黏逐漸轉變為顯著熱增黏,表現為Tmax上升、ηmax和ηmax-ηass增大,而Tass降低,這反映了高接枝密度下PNIPAM疏水締合占主導地位。時間–Gr疊加主曲線表明,不同Gr體系的lnηmax基本重合,但lnηass隨Gr增加明顯分化,且增黏斜率由2增至14。經Gompertz擬合分析,ηmax-ηass近似與Gr符合冪律關系(~Gr1.04),表達式為
可見,提高接枝率能通過增強PNIPAM締合與網絡致密化,顯著提升熱增黏性能。


圖3. 0.15%H20mGx溶液(Group 2)在不同接枝率(Gr)下的熱增黏行為:(A) 黏—溫曲線;(B) Regime II 區間內lnη–1/T的Cross模型擬合;(C) 以H20mG50為參照,采用移位因子aG和bG得到的時間–Gr疊加曲線;(D) Regime II中η–T關系的Gompertz模型擬合。
系列三:聚合物濃度(Cp)對熱增黏行為的定量影響
以H20mG11為模型體系,當Cp從0.05%增至0.5%時,體系室溫初始黏度升高,且在低至0.06 wt.%時即呈現明顯熱增黏。在Regime II中,隨Cp增大,Tass降低而ηmax與ηmax-ηass持續增大。時間–Cp疊加曲線顯示,各濃度下的lnηmax可疊合為一條曲線,而lnηass隨Cp顯著分化,增黏斜率由1.4提升至5.3。Gompertz擬合和標度分析后表明,ηmax-ηass與Cp近似呈冪律關系(~Cp2.01),表達式為

這說明提高聚合物濃度能構建更為致密的纏結與締合網絡,從而顯著放大熱增黏效率。


圖4. H20mG11在不同聚合物濃度(0.05–0.5%)下的熱增黏能力。(A)黏—溫曲線;(B) Regime II 區間lnη–1/T的Cross 模型擬合;(C)以0.5%為參照,通過移位因子aC和bC得到的時間–CP疊加曲線;(D) Regime II 中η–T關系的Gompertz模型擬合。
熱締合作用對增黏能力的貢獻分析
通過黏度差η -ηass表征PNIPAM熱締合對增黏的貢獻,并以CPNIPAM建立標度關系。在333.15 K 參考溫度下對Group 2和Group 3進行時間–溫度疊加,得到bT(ηmax-ηass)曲線:在低CPNIPAM區間,兩條曲線幾乎重合,說明熱締合增黏貢獻相近;而在高CPNIPAM下,Group 3的bT(ηmax-ηass)明顯高于Group 2,對應標度指數分別為2.78 和1.10。這表明在相同PNIPAM片段濃度下,提高主鏈濃度(Cp)比單純增加接枝率(Gr)能更有效地放大熱締合增黏效應。



圖5.(A) Group 2以及(B)Group 3的黏度差隨溫度的變化。(C) Group 2和(D)Group 3在333.15–373.15 K下的熱締合貢獻。(E)將(C, D)中的數據經豎直移位因子bT(參考溫度333.15 K)處理得到的bT(η-ηass)曲線;示意圖展示微觀結構演化(藍色:HPAM主鏈;紅色:PNIPAM)。
總結
本工作通過系統調控主鏈分子量Mw、接枝率Gr與聚合物濃度Cp,定量建立了TVPs的增黏能力與上述參數之間的冪律標度關系,并推導出統一的η(T; Mw, Gr, Cp)表達式。基于時溫疊加分析進一步揭示,提高主鏈濃度相比單純增加接枝率,能更顯著放大熱締合增黏效應。該理論框架闡明了“長主鏈–高接枝–高濃度”協同增強熱增黏效應的機制,為按需設計高效熱增黏聚合物及智能流變調控體系提供了定量依據。
原文鏈接:https://doi.org/10.1021/acs.macromol.5c02528
下載:論文原文。