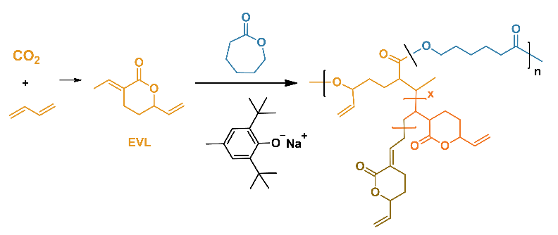
二氧化碳作為可再生資源,通過化學固定方法將其轉化為具有高附加值的化學品和聚合物材料已經取得重要進展。但常見的廉價大宗石化原料烯烴與二氧化碳的共聚合仍存在極大困難。近年來,一種二氧化碳和1,3-丁二烯經調聚反應制得的雙烯基取代δ-戊內酯(EVL),受到了越來越多的關注。通過EVL的加成或者開環聚合以及聚合后修飾,有望制備得到二氧化碳與1,3-丁二烯的共聚物,開發新的聚合物功能材料。近日,浙江大學倪旭峰和凌君團隊設計了一種名為“scrambling polymerizations”的聚合策略,以低毒性的鈉鹽為催化劑,實現了EVL與ε-己內酯(CL)的共聚合,“一鍋一步”制備拓撲結構可控的共聚酯(圖1)。該工作以“A Topology-Defined Polyester Elastomer from CO2 and 1,3-Butadiene: A One-Pot-One-Step “Scrambling Polymerizations” Strategy”為題發表于Angew. Chem. Int. Ed.(Angew. Chem. Int. Ed. 2022, e202213028)。論文共同第一作者為浙江大學博士研究生陳愷豪和朱志琦碩士。該研究得到了國家自然科學基金和浙江省自然科學基金的資助。

圖1 基于二氧化碳和1,3-丁二烯的共聚酯合成
在強堿催化下,EVL中具有共軛結構的雙鍵可以發生加成反應,得到含有多個內酯環的齊聚物oEVL。DFT計算表明,在共軛雙鍵加成后,EVL的內酯環可被活化,相應的開環反應能壘顯著下降,且 oEVL中的各內酯環之間存在一定的活性差異。同時,oEVL的開環產物與其它酯鍵(如聚己內酯內部的酯鍵)發生酯交換反應的活化能也較低(圖2)。這使得oEVL與聚酯間通過活躍的酯交換過程(scrambling)快速形成新的拓撲結構成為可能。

圖2 oEVL開環和酯交換反應的DFT計算
圖3 共聚合動力學和共聚物表征
圖4 共聚合機理及拓撲結構轉變示意圖
圖5 交聯共聚物網絡的拉伸強度與斷裂伸長率
原文鏈接:https://onlinelibrary.wiley.com/doi/10.1002/ange.202213028
- 河工大劉賓元教授 Macromolecules:環酸酐栓接有機硼路易斯酸堿對 - 打造耐稀釋的高效有機硼催化劑用于CO2和環氧丙烷共聚 2026-02-26
- 長春應化所王獻紅教授團隊 Macromolecules:二氧化碳介導的環狀碳酸酯單體保護-脫保護策略制備高分子量光學聚酯 2026-02-04
- 浙大伍廣朋課題組《Eur. Polym. J.》封面:有機硼催化劑再次豐富二氧化碳共聚物拼圖 - 氧化苯乙烯和二氧化碳共聚物 2025-11-03
- 長春應化所陶友華研究員團隊 JACS:陰離子結合催化實現聚(1,3-二氧戊環)的可控合成 2026-03-27
- 復旦大學潘翔城教授 Nat. Synth.:1,2–硼遷移驅動的自由基C3交替聚合 2026-03-25
- 從“0到1”的飛躍 - 唐本忠院士團隊《Acc. Chem. Res.》先驅報告:帶你讀懂聚集誘導發光(AIE)的前世今生 2026-03-23
- 浙江大學倪旭峰、凌君團隊 Macromolecules:由二氧化碳、1,3-丁二烯和生物基二醇合成功能性聚酯-聚碳酸酯共聚物 2025-01-07