水凝膠是一種具有三維網絡結構的類似于生物體軟組織的高分子材料,在組織工程、藥物載體系統以及醫療器械等生物醫學領域有著廣泛的應用。近年來,制備具有自修復功能的水凝膠成為了一個研究熱點,其自修復性能主要建立在動態共價鍵或超分子相互作用的基礎之上。但目前大多數自修復水凝膠的研究都偏重于其自修復性能的開發,而沒有很好地兼顧材料的生物相容性和合適的機械強度。例如目前廣泛應用水凝膠制備當中的聚乙烯醇,然而在冷凍-解凍循環制備過程中通常要求聚乙烯醇的分子量大于10萬和濃度高20wt%,這都限制了這類材料進一步在生物醫用材料中的應用。
近日,華南理工大學國家人體組織功能重建工程技術研究中心功能化組織修復團隊賈永光副研究員、任力教授等人以低分子量的聚乙烯醇(1.3萬)為聚合物主鏈,引入了生物相融性良好的主客體天然分子對β-環糊精和膽酸,利用主客體識別作用在室溫制備出了自修復水凝膠。該團隊通過將β-環糊精和膽酸分別接枝在低分子量的聚乙烯醇鏈段上構建出主體和客體聚合物,然后在生理環境下簡單混合兩種低粘度接枝聚合物的水溶液便能自組裝即時成膠。通過該方法制備出的聚乙烯醇自修復水凝膠成膠濃度可以低至7.0 wt%,其主體聚合物和客體聚合物均為獨立制備,易于調節側鏈接枝密度,通過調節膽酸接枝比還能調節自修復水凝膠的機械性能,使其能適應更廣泛的生物醫學應用。此種水凝膠材料在作為生物填充材料具有良好的應用前景。
圖1:合成路線及凝膠制備示意圖

(A) 基于PVA的主客體聚合物PVA-CD與PVA-CA的合成路線;
(B) PVA-CA/PVA-CD 自修復水凝膠制備示意圖。
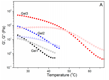
圖2:PVA-CA/PVA-CD水凝膠的流變特性

A) Gel 1、Gel 2和Gel 3的儲能模量(G’,實心)和損耗模量(G”,空心)在溫度掃描下的變化情況;
(B) Gel 1、Gel 2和Gel 3的儲能模量(G’,實心)和損耗模量(G”,空心)在應變掃描下的變化情況。
圖3:PVA-CA/PVA-CD水凝膠自修復性能

(A) PVA-CA/PVA-CD水凝膠自修復性能展示;
(B) PVA-CA/PVA-CD 自修復水凝膠(Gel3)在25℃交替進行10%和1000%的應變掃描條件下儲能模量(G’,三角形)和損耗模量(G”,圓形)的變化情況。
圖4:PVA-CA/PVA-CD水凝膠的生物相容性評價

(A) 不同濃度的PVA-CA 與PVA-CD混合溶液(質量比為0.78/1.00)細胞毒性實驗;
(B) 不同濃度的PVA-CA 與PVA-CD混合溶液(質量比為0.78/1.00)溶血試驗。
以上研究以“Self-Healing Hydrogels of Low Molecular Weight Poly(vinyl alcohol) Assembled by Host–Guest Recognition ”為題發表在Biomacromolecules上。論文的第一作者兼通訊作者為華南理工大學材料學院賈永光副研究員,第二作者為華南理工大學材料學院碩士研究生金家宏,共同通訊作者為華南理工大學任力教授與加拿大蒙特利爾大學朱曉夏教授。該工作也得到了國家自然科學基金得支持(201704026)。
同時,該工作是賈永光副研究員和朱曉夏教授之前合作研究的延續,2015年他們就第一次將天然主客體的超分子對應用到自修復水凝膠的制備當中(Self-Healing Supramolecular Hydrogel Made of Polymers Bearing Cholic Acid and β?Cyclodextrin Pendants, Chem. Mater. 2015, 27, 387–393),最近他們還把這種天然主客體自修復水凝膠賦予生理二氧化碳的可逆響應性質(CO2-Switchable Self-Healing Host-Guest Hydrogels, Macromolecules 2017, 50, 9696-9701)。同時他們還將這種生物相容性良好的主客體超分子對拓展到超分子項鏈的制備當中(Molecular Necklace: Threading β?Cyclodextrins onto Polymers Derived from Bile Acids. Angew. Chem. Int. Ed. 2016, 55, 11979-11983)。
- 河工大劉賓元、長春應化所王獻紅Macromolecules:具有自催化性能的超低分子量CO2基多元醇的合成及在聚氨酯制備中的應用 2024-03-18
- 長安大學顏錄科教授團隊《Constr. Build. Mater.》:低分子量端環氧基聚乙烯改性瀝青 2022-04-20
- 南昌大學范杰平教授課題組在基于天然藥物的低分子量超分子水凝膠上的新進展 2021-06-18
- 武漢大學陳朝吉/四川大學張偉 ACS Nano:仿生梯度水凝膠電解質界面優化構筑穩定鋅離子電池 2025-07-21
- 廣工高粱課題組 Adv. Mater.: 基于聚乙烯醇縮醛相變液體的全季節非對稱熱致變色窗 2025-06-03
- 華南理工大學郭建華教授團隊 AFM:可多層組裝泡孔結構的聚乙烯醇/碳復合氣凝膠實現寬帶微波噪聲雙吸收和水下形狀記憶效應 2025-05-14
- 東南大學張久洋教授團隊 Nat. Commun.:多元液態金屬的動態界面配位實現聚合物功能材料的自修復 2026-02-28