高性能聚氨酯及其復合材料的研究
時間:2005-07-25
戴新華 趙寧 郭興林 徐堅*
高分子物理與化學國家重點實驗室,中科院化學所北京100080 ,
E-mail:jxu@iccas.ac.cn
聚氨酯可采用多種原料,通過簡單的加聚反應、原位復合等方法制備新一代高性能的聚合物材料,如超拉伸聚氨酯、超阻尼聚氨酯,具有重要的應用價值和研究意義。在本研究中,用溶液插層法制備了聚氨酯(PU)/納米級粘土復合材料,材料力學性能得到較大幅度提高,粘土含量為2.0%時,復合材料的斷裂伸長率高達1700%,超出了公開報道的PU斷裂伸長值。用FT IR二向色性光譜研究了PU/納米級粘土復合材料分子鏈的取向行為、氫鍵性能以及拉伸誘導軟鏈段的結晶行為,粘土含量為2.0%時,拉伸誘導結晶的臨界應力值達最大為700%。用超臨界CO2作為PU的發泡劑,發展了一種綠色、簡便的PU發泡材料制備方法,研究了加工參數如溫度、壓力等對材料的形貌,孔徑大小及其分布的影響,特殊的泡孔結構導致PU材料的阻尼值可高達3.8
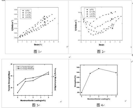
圖1是聚氨酯(PU)/納米級粘土復合材料取向函數f和應變之間的關系曲線。樣品發生形變,f2940就會沿著拉伸方向進行取向。由于粘土的加入,影響了軟鏈段的取向,其取向速率明顯低于純的聚氨酯,且隨著粘土含量的增加,取向函數f值減少,表明粘土片層的存在阻礙了軟鏈段的運動。硬鏈段的取向行為如圖2所示,f1649首先是負的取向,表明硬區中硬鏈段的取向開始時與拉伸方向垂直。表明了由于在體系中引入了粘土,具有剛性的粘土片層大大的影響了分子鏈的運動,從圖中可得知,所有樣品中,f1649最小值處的伸長率值中樣品具有較大的伸長率。
納米級復合材料的彈性由于結合了有機粘土而得到大大的提高。隨著粘土含量的增加,彈性模量和斷裂強度逐漸增大,如圖3所示。材料模量和強度的增加主要是由于結合了分散在聚合物基體中粘土片的剛性。從圖4中可以明顯看到,隨著粘土的加入,斷裂伸長率也大大提高;尤其當粘土含量為2.0%時,斷裂伸長率達到1700%。通常一種材料在提高強度的同時往往會使其韌性降低。然而,在本工作中,聚氨酯/納米級粘土復合材料可以通過結合以納米尺度分散的剝離了的粘土片層而使得復合材料的強度和韌性同時得到提高。
我們還應用環境友好的超臨界流體CO2浸泡純的聚氨酯膜并且快速釋放壓力制備聚氨酯發泡材料,孔徑大小比較均勻且孔徑一般小于18微米。發泡材料孔徑的大小和形態可以通過改變加工條件而得到很好的控制。特殊的微觀結構和形態導致了發泡材料力學性能的下降,然而其阻尼值卻有較大的提高。結果表明:隨著浸泡溫度的升高,材料的孔徑增大,分布變寬;隨著浸泡壓力的升高,材料的孔徑變小,分布變窄。不同溫度、不同壓力下制備的發泡材料其質量密度均降低;隨著浸泡溫度的升高,材料的質量密度減少;同時材料泡孔密度減少;隨著浸泡壓力的升高,材料的質量密度略有增加;同時材料泡孔密度大大增加。發泡前后材料力學性能測試的結果表明:不同溫度、不同壓力下制備的發泡材料其彈性強度和斷裂伸長率均下降;隨著浸泡溫度的升高,泡孔材料的彈性強度和斷裂伸長率下降;隨著浸泡壓力的升高,泡孔材料的彈性強度和斷裂伸長率均有所增加。

2004年全國高分子材料科學與工程研討會論文集