變性淀粉是19世紀末出現的,至今已有100多年的歷史,而真正高速發展是近30年間目前世界上的淀粉產量已達2000多萬t,直接以淀粉為原料或對淀粉進行變性處理所得的產品已有2000多種,廣泛應用于造紙、食品、紡織、醫藥、油田、鑄造、農業、石油化工等行業,其中造紙工業用量最大,如表1[1]。

據報道,美國每年工業用變性淀粉達200多萬t,其中造紙用量約130多萬t;歐洲年用量約90多萬t,日本約30萬t;泰國1994年淀粉和變性淀粉產量約190多萬t,出口15萬t,目前已成為世界上最大的木薯淀粉及其衍生物的生產國之一。
我國淀粉及其深加工起步較晚,技術裝備比較落后,直到80年代中期才有較快發展,表2為我國淀粉和變性淀粉的發展情況。其中玉米淀粉產量最大,占80.9%,其次是木薯淀粉占14.0%。從表2中可以看出,變性淀粉占比例很低,因而大力發展我國的變性淀粉是非常必要的。

變性淀粉是最重要的造紙化學添加劑,主要用于濕部添加、層間噴淋、表面施膠、涂布粘合,其用量占造紙精細化學品總量的80%~90%,在造紙原料中居造紙纖維、填料后的第三位。發達國家變性淀粉的用量已占紙和紙板產量的2%以上。主要品種有氧化淀粉、磷酸酯淀粉、羥烷基淀粉和陽離子淀粉等系列,而用于濕部的主要是陽子淀粉和磷酸酯淀粉。近年來在陽離子淀粉基礎上又新發展了復合變性的兩性淀粉和陽離子接枝淀粉,性淀粉兼有陽離子淀粉和陰離子淀粉的特性,陽離子接枝淀粉既具有淀粉的性質又具有聚合物的性質,因而開發應用這些新產品,具有廣闊的前景。本文通過實驗比較了兩性淀粉、陽離子接枝淀粉和陽離子淀粉對漂白麥草漿填料留著率的作用。
1 試驗過程與分析方法
1.1 淀粉的糊化:稱取5g淀粉(絕干)溶于100mL水中,倒入四口瓶,開動攪拌,用恒溫水浴升溫至85~90e,保溫15~20min,加溫水400mL繼續攪拌2min,倒入細口瓶中備用。
1.2 實驗過程:在標準纖維疏解機(瑞典產)內把紙漿按2%的濃度疏解(4000轉),依次加入
018%的分散松香膠、2%的硫酸鋁、25%的滑石粉(每加一種攪1000轉),在抄片成形前加入變性淀粉,然后在FRANK抄片器(德國產)抄片干燥成紙片。
1.3 紙片物理性質和灰分按5造紙工業測試方法標準匯編6(1990)所規定的要求測定。
1.4 填料留著率的測定
1.4.1 纖維灰分C按GB742)79測定。
1.4.2 紙料灰分B將被測紙料用定量濾紙過濾后或直接在105e烘箱中烘干至恒重,按TAPPI標準T4130m)80測定(900e)。
1.4.3 滑石粉灼燒減量D、紙頁灰分A的測定方法與紙料灰分的測定方法相同。
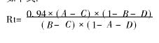
1.4.4 填料留著率的計算[2]如下式:

2 結果與討論
2.1 幾種變性淀粉助留性能的比較
陽離子淀粉由于自身帶有陽電荷,能直接與帶負電纖維發生電荷中和吸附作用,因而具有助留、助濾和增強作用,得到了廣泛應用,并一直在濕部添加劑中占主導地位,作為濕部添加劑效果令人滿意。但造紙工業不斷發展出現的新情況,使人們感到陽離子淀粉還未達到盡善盡美的境地,主要表現在以下幾個方面[3]:
(1)在鹽含量高的系統中,陽離子淀粉的使用效果受到很大影響,有時甚至不起作用。由于環保的要求,許多造紙廠,為減少廢水排放,往往采用部分廢水和全部紙機白水閉路循環使用的方法,這樣鹽含量積累很快,陽離子淀粉的效果就會受到很大影響。
(2)為了更進一步提高紙頁強度,往往想增加陽離子淀粉的用量,但由于其加入量有一定的限制,加入過多,會造成過陽離子體系,使紙機操作困難,填料留著率下降,效果反而降低。
(3)在酸性抄紙中,由于硫酸鋁用量較高,也影響其使用效果。
(4)另外,紙漿本身(尤其是脫墨漿)帶有的以及在配料中帶入的某些離子性/雜質0,也會在不同程度上影響其應用。為克服陽離子淀粉的以上缺點,近年來在陽離子淀粉基礎上新發展了復合變性的兩性淀粉。兩性淀粉以電化學的角度解決上述問題,其獨特的作用原理如下:
(1)兩性淀粉的陰離子基團有助于清除干擾淀粉對纖維吸附的體系中的陽離子。
(2)兩性淀粉的陰離子基團能對陽離子基團起保護作用,電性排斥那些在體系中存在的高活性/雜陰離子0,從而使淀粉中的陽離子基團不會發生過早的反應或被中和。
(3)纖維通常帶負電,因而易于吸附陽離子淀粉,但也易于吸附其它帶正電的物質,這樣就削弱了對陽離子淀粉的吸附,而兩性淀粉中的陰離子基團能優先吸附體系中的陽離子。
(4)兩性淀粉電荷基本平衡,那些未被留著的淀粉隨白水排除后,再循環使用時,不會失去電荷平衡,從而可保證紙機良好的運轉狀態。
(5)在中性或堿性抄紙中,離子電荷的平衡敏感度較大,即體系較容易出現過陽離子化,這就會造成濕部失控,而使用兩性淀粉可以使體系得到控制。因而兩性淀粉比陽離子淀粉更能有效地提高紙頁的強度、填料留著率和紙機的濾水,從而可提高紙機車速,大大減輕白水處理負荷。選用幾種不同取代度的變性淀粉,研究它們對漂白麥草漿助留作用及其紙張性能的影響,結果見表3。

從表3中可以看出,在抄紙pH值為610時,加入變性淀粉后,紙頁的灰分和填料留著都有不同程度的提高,尤其以自制的兩性淀粉LS2L222和陽離子接枝淀粉提高最多。兩性淀粉LS2L222主要以陽離子為主,帶少部分陰離子基團,以抵消紙料中的陰離子雜質,其助留效果比陽離子淀粉要好,用量為1%時填料留著率提高23.8個百分點。陽離子接枝淀粉CGS是淀粉與丙烯酰胺接枝共聚后再經胺甲基化而得,因其鏈長、胺化度高,助留效果也較好用量為0.05%時填料留著率提高22.6個百分點,但強度下降較大。陽離子淀粉提高填料留著率是9.3~14.2個百分點,以自制陽離子淀粉取代度最高,填料留著率提高最高達14.2個百分點,而且強度影響較小。表3中紙頁的定量變化較大,主要是由于加入變性淀粉后,填料留著率和漿料中的細小組分留著率提高所致,因而用于工業生產中會大大地節約漿耗,降低生產成本。但由于紙頁定量的提高使裂斷長受到影響,若降低定量,加入變性淀粉紙樣的裂斷長比表中的數值會有所提高。
2.2 不同用量的陽離子淀粉和兩性淀粉助留作用的比較
從圖1中可以看出,變性淀粉在用量2.0以下,兩性淀粉比陽離子淀粉(取代度為0.04具有更好的助留作用,而且都隨著其用量的增加,填料留著率增加。

3 結 論
3.1 添加變性淀粉后,紙頁的灰分和填料留著率都有不同程度的提高,尤其以自制的兩性淀粉LS2L222和陽離子接枝淀粉提高最多。兩性淀粉用量為1%時填料留著率提高23.8個百分點。陽離子接枝淀粉CGS助留效果也較好,用量為0.05%時填料留著率提高22.6個百分點,但強度下降較大。陽離子淀粉提高填料留著率為9.3~14.2個百分點,以自制陽離子淀粉取代度最高,填料留著率提高最高達14.2個百分點,而且強度影響較小。
3.2 在用量2.0%以下,兩性淀粉比陽離子淀粉(取代度為0.04)具有更好的助留作用,隨著兩性淀粉、陽離子淀粉用量的增加,填料留著率增加,兩性淀粉效果更佳。
作者:陳夫山