摘 要:綜述了20 世紀80 年代末出現的超分子化學的研究給涂料科技發展帶來的機遇。
關鍵詞:超分子高分子化學;自組裝;響應性;涂料;配位鍵
0 引 言
20 世紀80 年代末, 諾貝爾化學獎獲得者J .M.Lehn 創造性地提出了超分子化學的概念。超分子化學簡言之是研究各個分子間通過非共價鍵作用形成具有特定功能體系的科學。從而使化學從分子層次擴展到超分子層次。這種分子間相互作用形成的超分子組裝體,帶給人們許多認識上的飛躍,認識到分子已不再是保持物性的最小單位。功能的最小基本單位不是分子而是超分子,功能產生于超分子組裝體之中。高分子材料的合成強烈地依賴于單體間共價鍵的形成。近年來,高分子化學與超分子化學相結合, 形成的超分子高分子化學(Supramolecular polymer Chemistry) ,已成為高分子科學的一個新生長點。據估計,現在已有40 % 的化學家要用超分子的知識來解決所面臨的科學問題,超分子科學已成為21 世紀新思想、新概念和高技術的一個主要源頭。因而對涂料學科也帶來新的發展機遇。2002 年和2003 年兩次舉辦的歐洲功能性涂料會議上,均有超分子化學與高分子化學相結合,產生靈巧或響應性涂料(smart or responsive coatings) 的報道[1 ,2 ] 。本文將對近年來超分子化學的研究給涂料發展帶來的機遇,作一簡要介紹。
1 超分子化學簡介
超分子化學是研究2 種或2 種以上的化學物種通過分子間的弱相互作用(或稱次級鍵) 所形成復雜而有序且有特定功能體系的化學[ 325 ] ?,F以分子化學和超分子化學的對應關系來了解超分子化學的研究內容,見表1 。
表1 分子化學和超分子化學的對應關系
1. 1 超分子構筑基元
超分子構筑基元是具有特定功能和組裝能力的結構單元。并不是所有化合物都可以用來組裝超分子聚集體,它也不是雜亂無章的混合體,而是超分子結構單元有規則、有秩序、有層次的組裝,超分子體系的功能產生于組裝中。所以,設計與合成這類結構單 元是超分子體系的最基礎的工作。
1. 2 分子間弱相互作用
超分子化學中非共價鍵弱相互作用,對應于分子 化學中的化學鍵。非共價鍵自組裝推動力大致有疏 水親脂的作用,靜電吸引、氫鍵,配位鍵、電荷轉移等。 其中氫鍵和配位鍵是較為重要的分子間弱相互作用。 這種弱相互作用力的實質是永久多極矩、瞬間多極 矩、誘導多極矩三者之間相互作用,并有加和、協同、 方向和選擇性。
1. 3 超分子體系的分子識別和組裝
超分子化學中的分子識別和組裝,對應于分子化 學中的反應選擇性與合成。在超分子化學中,只有具 備分子識別和位點識別功能的組裝方式,才能保證組 裝體系的有序性,自組裝是構筑基元在沒有人為介入 的情況下,自發地形成有序結構,它是組裝的高級層次。超分子構筑基元可以是無機分子、有機分子,高分子和生物大分子。信息寄寓于分子之中,而功能產生于組裝之中。
2 超分子化學給涂料發展帶來新的機遇
Lehn 在1993 年就預示了超分子化學與高分子化學相結合,將會創造出豐富多彩的物質[ 6 ] 。10 余年的研究與發展,使化學及材料科學研究者都充分認 識到有序高級結構是高級功能材料的靈魂,化學和材料科學在超分子層次上的相互交叉,揭示了這種高級結構形成及其功能調控的規律,為開發新的功能性材 料指明方向,這為涂料的發展也帶來新的機遇,超分子組裝體在涂料中的應用正在走向現實。
3 靈巧或響應性涂料
2003 年和2004 年歐洲涂料會議上報道的靈巧 或響應性是指對外界的刺激信息(如溫度、應力、光、電或磁場等) 作出有選擇性的響應[7 ] 。非共價作用力相對于共價鍵是弱的,這使其具有動態力學特征,蘊 藏著豐富的信息內容,這種結構的動態可逆特點,使 其對外部環境的刺激具有獨特的響應性,呈現動態功 能材料的特點。目前報道的主要是以配位鍵和氫鍵 形成的超分子組裝體在涂料中應用的可能。
3.1 配位鍵超分子組裝體的轉換性( switchable pro2 terties)
這個體系是接到聚合物鍵上的三聯吡啶配位體 與金屬離子形成的超分子組裝體。三聯吡啶是已知 的能與多種金屬(如Fe ,Zn ,Cu ,Ni ,Co ,Cd 等) 生成配 位化合物的配位體,用作制備含三聯吡啶的聚合物的 起始化合物1 和2 , 近期文獻報道此起始物已可大規 模合成[ 8 ] ,以及進一步制備含三聯吡啶的聚合物,分 別如圖1 、2 、3[ 9 ] 所示。

圖1 三聯吡啶與金屬離子組合

圖2 制備含三聯吡啶的聚合物的起始物

圖3 含三聯吡啶的聚合物制備

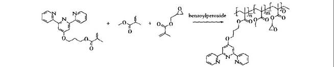
圖4 含三聯吡啶、環氧基、甲基丙烯酸酯的三元共聚物
U.S.Schubert 等于2003 年合成了一種含環氧基和三聯吡啶的三元共聚物,見圖4[7 ] 。此三元共聚物的特點是它可以作為常規聚合物進行加工與應用, 同時還保有超分子非共價作用的潛在轉換器(dor- mant suitch) 。U.S.Schubert 稱非共價反應與常規的熱或UV 交聯相結合,可以導致一類新的薄膜,它具有可控黏度和循環的可能性,或者是通向多層系統(multi -layer systems) 的新途徑。此例中的非共價鍵(如配位鍵或離子反應等),已經可以在低溫下于水、溶液、或100 % 純度體系(包括粉末) 中形成。構成一種部分交聯的材料,具有可調控黏度特性,直接由非共價交聯單元的數目、配置與性質來調控。這種聯結仍可轉換與全循環,提供了具有優異可加工性的預涂料,見圖5 所示[ 7 ] 。

圖5 具有優異可加工性的預涂料示意圖
(a) 常規交聯聚合物涂料示意;
(b) 利用溫度,氧化還原,或p H 響應涂料的兩步固化原理;
(c) 非共價反應開辟通向自修復和自愈合涂料的可能
3.2 四重氫鍵的超分子組裝體
利用氫鍵非共價相互作用將相對比較簡單的分子亞單元組裝成二維或三維長程有序的超分子聚集體是設計新穎功能材料的一條新途徑。由于弱相互作用具有動態可逆的特點,有望對外部環境刺激具有獨特的響應性,呈現動態功能材料的特點。近年來四重氫鍵超分子組裝體的開發引起科學家們的關注, E. M. Meijer 等設計與合成了2 -氨基-4 -嘧啶酮, 對其四重氫鍵超分子聚合物及其可逆交聯超分子三維網絡進行了深入研究[ 10 ,11 ] 。U.S.Schubert 和白炳蓮等對此類超分子組裝體系進行了評論[ 7 ,12 ] 。
2-氨基嘧啶酮較容易獲得,它可由烷基酰基乙酸乙酯與胍合成,再與烷基二異氰酸酯反應可生成2 -脲基-4 -嘧啶酮,其分子間由四重氫鍵形成線性超分子聚合物,如圖6 所示。
這種線性超分子聚合物的溶液粘性具有很大的溫度依賴性,當溫度升高時,使連接在兩個不同鏈上的脲基嘧啶酮之間的氫鍵強度先是變弱直至最后斷開,因此在較高溫度時材料表出現單體的性質,粘性降低,容易流動與使用。
兩個以上含雙末端脲基嘧啶酮的低聚物分子之間以氫鍵締合時,就形成可逆的交聯超分子三維網絡[ 10 ,11 ] ,如圖7 所示。與常規交聯的聚合物相比,它表現出全新的性質,隨著交聯數目的增加,它可以從粘性液體變為彈性固體。傳統的共價交聯聚合物的結構成分一般不十分精確,它只能通過變化交聯條件來近似地控制,一旦形成交聯則是不可逆的。但是氫鍵等弱相互作用的鍵能與成鍵壽命等均可通過改變 溫度或其他外部環境條件加以控制,使得這類動態鍵合體系的許多性質如黏度、鍵長度以及組成等均可進行傳統高分子難以實現的預期調控。這類熱力學控制的動態交聯網絡具有強烈溫度依賴的流變性,這對涂料和熱熔膠等的應用是非常有用的性質。

圖6 線性超分子聚合物的合成[10 ,11 ]
4 結 語
超分子化學與超分子高分子化學的研究與發展,為開創新的功能材料打下了堅實基礎,指明了新途徑,并且也在逐步實用化,這對涂料學科也帶來了擴展的機遇。超分子組裝體在生物體系中普遍存在,是形成高級功能的關鍵。人類進入21 世紀的時刻,我們應以超分子科學的觀點來進入認識物質世界的新層面。

圖7 可逆的交聯超分子三維網絡[10