張才亮,馮連芳**,許忠斌
(浙江大學 化學工程聯合國家重點實驗室聚合反應工程分室,杭州 310027)
HU Guo Hua (胡國華)
Laboratory of chemical engineering sciences, CNRS-ENSIC-INPL 1 rue Grandville BP 451, 54001 Nancy, France
**通訊聯系人:馮連芳, E-mail:fenglf@mail.hz.zj.cn
摘要:在哈克流變儀和雙螺桿擠出機對苯乙烯(St)/馬來酸酐(MAH)/聚丙烯(PP)熔融接枝進行了研究。實驗表明當只改變St用量時,MAH接枝率在St:MAH=1:1(摩爾比)達到最大,而接枝物的MFR一直減小;當只改變MAH用量時,MAH的接枝率先增加后略有減小,而接枝物的MFR先增加后減小,存在一最大值,這可能是由于MAH與PP發生相分離所引起的。通過反應機理分析得出:在沒有St存在的條件下,MAH以單分子形式接枝到PP上;而在St存在的條件下,St與MAH以交替接枝的形式或絡合物CTC形式接枝到PP上,形成St和MAH的交替聚合的長鏈。
關鍵詞:馬來酸酐 聚丙烯 苯乙烯 熔融接枝
1 前 言
馬來酸酐(MAH)是最常用的熔融接枝聚丙烯(PP)的乙烯基單體。但MAH接枝PP的活性較低,而且在熔融接枝過程中PP降解比較嚴重。為此,Hu[1,2,3]對苯乙烯(St)、丙烯酸(AA)、甲基丙稀酸甲酯(MMA)、N-乙烯吡咯烷酮等對MAH接枝PP的接枝率的影響進行了研究,發現St作為助劑對提高MAH的接枝率是最有效的。謝續明等[4,5,6]對MAH/St/PP體系在單螺桿擠出機中進行了研究,通過FIRT和MFR對反應機理及引發劑,單體配比等影響因素進行了探討。本文在哈克流變儀(haake)和雙螺桿擠出機(TSE)中對MAH/St/PP熔融接枝進行研究。
2 實驗部分
2.1 實驗原料 聚丙烯(PP F401 南京揚子石化),熔融指數(MFR)為2.6g•(10min)-1;馬來酸酐(MAH 中國醫藥(集團)上海化學試劑有限公司),分析純;苯乙烯(St上海凌峰化學試劑有限公司),密度為0.9050g•mL-1,化學純;過氧化二異丙苯(DCP上海凌峰化學試劑有限公司)。
2.2 樣品的制備 將一定量的PP、MAH、DCP和St預先混合均勻,然后加入到已經預熱的哈克流變儀(HBI SYSTEM 90)或雙螺桿擠出機(TSE35型)中進行熔融接枝反應。
2.3 樣品的純化處理
為除去樣品中未接枝的MAH和St以及它們的均聚物和共聚物,對樣品進行如下純化處理:先將樣品溶于熱的二甲苯中,再在丙酮中沉降一夜,經過濾后真空干燥24小時,干燥溫度為900C,得到的即為純化的接枝物。
2.4 樣品的表征
1.用傅立葉紅外光譜儀對提純后的樣品進行傅立葉紅外光譜分析。
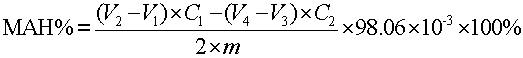
2.化學滴定分析:稱取約1g的純化的接枝物加入到二甲苯和少量的蒸餾水溶液中加熱溶解1小時后,用0.5%的百里酚藍甲醇溶液作指示劑,用KOH甲醇溶液滴定,用三氯乙酸二甲苯溶液反滴定。MAH的接枝率的計算式如下:

式中: MAH%-接枝物中MAH的含量,V1-滴定前KOH溶液的體積(mL),V2-滴定后KOH溶液的體積(mL),C1-KOH溶液的摩爾濃度(mol•L-1),V3-滴定前三氯乙酸的體積(mL),V4-滴定后的三氯乙酸的體積(mL),C2-三氯乙酸的摩爾濃度(mol•L-1),m-分析樣品的質量(g),98.06-MAH的分子量。
3.熔體流動速率(MFR)分析:純化處理后的接枝物的MFR都是用XNR-400A型熔體流動速率儀在2300C,2.16kg的條件下測定。
3.實驗結果與分析
3.1 傅立葉紅外光譜分析 圖1是PP、PP-g-MAH和 PP-g-(St-MAH)的紅外光譜圖,可以看出:PP-g-MAH的紅外光譜中在1787cm-1附近出現了MAH的特征峰,說明MAH確實接枝到了PP上;PP-g-(St-MAH)的紅外光譜中不僅在1782cm-1附近出現MAH的特征峰,而且在703cm-1附近出現了St的特征峰,說明MAH和St都接枝到了PP上。
PP-g-MAH的MAH的特征峰在1787cm-1,而PP-g-(St-MAH)的MAH的特征峰在1782cm-1。根據Roover[7]和Mard[8]的報道,特征峰在1792 cm-1的MAH的結構如圖2中A所示,特征峰在1784cm-1的MAH的結構如圖2中B所示,可以認為:在沒有St存在的條件下,MAH基本上都是以單個分子接枝到PP上的,即以結構A接枝到PP上;而在有St存在的條件下,MAH是以結構B接枝到PP上的,即以St和MAH的共聚物的形式接枝在PP主鏈上的。

3.2 MAH用量的影響 圖3是MAH用量對MAH接枝率和接枝物的MFR的影響,可以看出:隨MAH用量增加,MAH接枝率一直增加,在用量為PP的4%(質量比)后略有減小;而MFR隨MAH用量先增加后減小,在MAH與St的摩爾比為1.7左右存在一最大值。這可能是由于MAH與PP的相容性比較差,隨著MAH量增加,MAH與PP發生相分離,導致MAH的接枝率不再增加,而且引發劑DCP與MAH相是相容的,可能引發MAH的均聚,消耗一部分自由基,這樣用于接枝反應的自由基濃度減小,從而MAH的接枝率反而下降,接枝物的MFR則減小。
3.3 St用量的影響 圖4是St用量對MAH接枝率和MFR的影響,可以看出:St的加入既可以提高MAH的接枝率又可以抑制PP的降解。MAH接枝到PP主鏈上的活性不如St大,因而在沒有St的條件下,MAH的接枝率很低;另一原因是MAH可能在PP降解之后接枝到聚丙烯上,而St基本上在PP降解之前就接枝到PP上的,并且形成了較穩定的苯乙烯大分子自由基,不易發生降解,因此St的加入可以減小PP的降解;再一原因可能是由于St的加入,使形成的大分子自由基發生偶合終止,即發生交聯。

3.4 接枝機理的分析
從圖4中可以看出,在St與MAH的摩爾比大約為1:1時,MAH的接枝率達到最大,這與謝續明等[4,5,6]報道的一致。根據這一現象,可認為MAH與St應該是以交替共聚的形式接枝到PP上的,存在著多種可能的機理接枝(如圖5所示)。
第一種是MAH和St先交替共聚生成SMA,然后以SMA的形式接枝到PP上。如果按這種機理進行接枝反應,那么應與直接加入SMA沒多大區別,但從表1可以看出,SMA/PP/DCP反應體系與MAH/St/PP/DCP反應體系的結果有很大的差異:不僅MFR大大增加,而且接枝物中的MAH的含量非常低。因而這種接枝機理應該是不可能的。
第二種是MAH先接枝到PP上,然后St再接枝上去,MAH和St按這種交替的形式接枝到PP上。如果以這種接枝機理進行接枝反應,那么接枝物的MFR應該與沒有St存在的MFR基本相似。但由表1可見,只有MAH存在下的MFR比St和MAH都存在下的MFR大的多;同時由于位阻效應,MAH接枝活性要比St小的多。因而該接枝機理也是不合理的。
第三種是MAH與St先通過電子轉移形成絡合物CTC的形式,然后以CTC的形式接枝到PP上,從而形成MAH和St的交替聚合的接枝形式。這樣相對與沒有St存在條件下,MAH的接枝率會大大提高;而且CTC的活性要比MAH大,因而CTC接枝PP時可能在PP降解前接枝到PP上,抑制PP的降解。從而可見第三種接枝機理應是可能存在的。
第四種與第二種類似,只不過是St先接枝到PP上,然后MAH接枝到PP上。St先接枝到PP上,可以穩定大分子自由基,抑制PP的降解;另一方面由于電荷效應,MAH很容易與St自由基結合,從而形成St與MAH的交替接枝形式。因此這接枝機理也是可能存在。
由此可見,MAH/St/PP熔融接枝機理可能是第三種或第四種或這兩種接枝機理都存在。


4.結論 當只改變St用量時,MAH接枝率在St:MAH=1:1(摩爾比)達到最大;當只該變MAH用量,MAH的接枝率先增加后略有減小,而接枝物的MFR存在一最大值,這可能是由于MAH與PP發生相分離所引起的。在沒有St存在下,MAH以單分子形式接枝到PP上;而在St存在下,St與MAH以交替接枝的形式或者絡合物CTC形式接枝到PP上,形成St和MAH的交替聚合的長鏈。MAH/St/PP熔融反應比較復雜,又加上MAH和St接枝量較少以及PP的難溶性造成反應物的結構特征很難測定,因此要得到詳細的反應機理還需更進一步的研究。
論文來源:2004年全國高分子材料科學與工程研討會論文集